

英语原文共 5 页,剩余内容已隐藏,支付完成后下载完整资料
一种独特的基于相对熵的统计空间信息对称共生矩阵阈值法
范久伦1,2和张弘1,2
- 西安电子科技大学,西安710071)
(2. 西安邮电学院电信与信息工程学院,西安710121)
摘要 - 基于灰度共生矩阵的阈值分割是一种局部阈值技术。 相对熵通常用于衡量两个物理系统中不确定性的相对差异,并且基于相对熵的非对称共生矩阵阈值法已经成功应用了。 我们提出从图像的目标和背景区域的均值中获取统计空间信息,进而构建对称共生矩阵。 在这个思路下得出一种独特的基于相对熵的对称共生矩阵阈值法。 计算机仿真结果表明,与基于距离的对称共生矩阵阈值法,Otsursquo;s和相对熵方法相比,我们所提出的方法具有更高的适应性和更高的效率。
关键词 - 图像分割,对称共生矩阵,相对熵阈值,区域平均值。
I.导言
图像分割是图像处理,图像分析,计算机视觉等技术中的关键步骤。已经提出了许多不同类型的方法,例如阈值法、基于边界的图像分割法、基于区域的图像分割法和混合技术[1]。在这些技术中,阈值技术因其优越的性能而被广泛使用[2,3]。图像可以被看作是两个不同的灰度级区域(即,目标和背景)的组合。阈值法根据这两个区域的灰度差异来确定一个合适的阈值进而判断像素是属于目标区域或者背景区。
熵是衡量物理系统混淆程度的基本物理量,基于熵的方法是分割图像的有效方法。已经提出了各种基于熵的图像分割方法[4-7],基于相对熵的图像分割被广泛使用[8-12]。例如,最小误差阈值处理是一种流行的图像阈值选择方法[9],它可以用相对熵思想[13,14]来解释,因此可以将其纳入基于相对熵的阈值法中。
灰度共生矩阵是图像纹理分析和分割的基本方法[15-25]。它由Haralick [15]介绍用于图像纹理分析,并应用于图像分割中,源于Ahuja和Rosenfeld [16],Weszka和Rosenfeld[17]的作品。基于灰度共生矩阵的图像分割方法是基本的阈值选取方法之一,其中包括对称共生[22,23,25]和不对称矩阵方法[10,24]。本文研究了对称共生矩阵阈值处理方法。它是最早研究的方法之一,如基于繁忙度,熵,条件概率,平均对比度,平均熵,Weber对比度和平均一致性度量的方法等[23]。但这些方法主要使用共生矩阵的频率信息,而没有充分利用灰度对称共生矩阵的统计信息,因此对于复杂的图像,很难获得更好的分割效果。
鉴于此,定义了灰度对称共生矩阵上的目标和背景区域的均值,并提出了一种基于平方距离的图像阈值分割方法[25]。但是,图像信息尚未完全使用。为了充分利用目标和背景区域的信息,本文提出了一种基于相对熵的新阈值分割方法,该方法具有较好的分割效果。
II.相对熵
相对熵也称为交叉熵,它定量地反映了同一活动空间中两个概率分布的差异。对于两个离散概率分布 and,有,和。相对熵定义为[8]:
(1)
III. 对称共生矩阵
对于灰度图像与大小,代表像素的灰度值, 我们用来表示像素中的灰度级, 用j代表像素中的灰度级,距离与像素的方向为。通常,设置为1,是的整数倍。可以获得方向为的灰度共生矩阵[25]:
(2)
有
(3)
以为0,,pi;,,共生矩阵C定义如下:
(4)
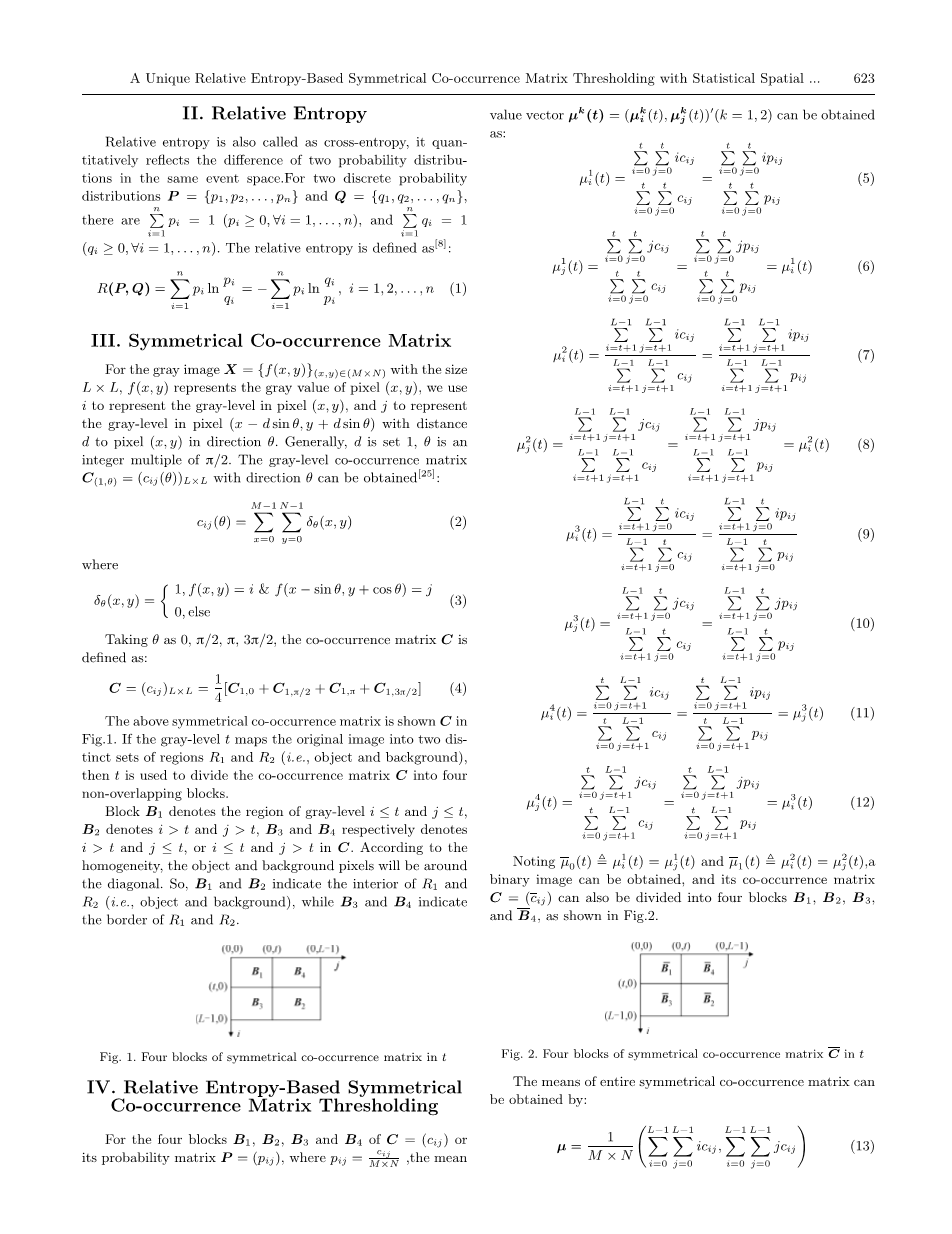
上述对称共生矩阵在图1中用C表示。如果灰度级t将原始图像映射为两个不同的区域集合R1和R2(即,目标和背景),那么t用来将共生矩阵C划分为四个不重叠的块。
C中块B1表示灰度级且的区域, B2表示并且, B3和B4分别表示和,或者并且。根据均匀性,目标和背景像素将围绕对角线。因此,B1和B2表示R1和R2的内部(即目标和背景),而B3和B4表示R1和R2的边界。
图 1 t中的四个对称共生矩阵块
IV.基于相对熵的对称共生矩阵阈值
对于的四个块B1,B2,B3和B4或其概率矩阵,有, 平均值向量可以得到如下:
(5)
(6)
(7)
(8)
(9)
(10)
(11)
(12)
注意和,可以获得二值图像及其共生矩阵也可以被划分成四个区块1,2,3和4,如图2所示。
图 2 四个对称共生矩阵的块在t中
整个对称共生矩阵的均值可以通过下式得到:
(13)
当对于表示为的原始图像,共生矩阵被阈值t分成四个块时:
和
和
和
和
然后
(14)
又有
(15)
类似于Li和Lee提出的方法[9],原始图像X和相应的二值图像的相对熵可写为:
(16)
使用灰度直方图信息,上述表达式可以进一步简化为:
(17)
最小化上述公式相当于最大化以下公式:
(18)
然后,如下确定最佳阈值:
(19)
与基于平方距离的对称共生矩阵阈值法相比[25],上述公式利用更多的图像信息。它的优点将在下一节详细介绍。
V.实验结果
为了验证正确性和效率,本文提出的方法与Otsu [26],基于相对熵[9]和基于平方距离的方法[25]进行了比较。下面分析真实图像分割效果和分割性能评估的两个方面。
- 实验分析
进行了大量的分割实验。这里,两幅代表性图像的实验结果如图3和图4所示:Aerial和稻米。两幅图像的大小分别是1026times;1024和256times;256.图3(a)和4(a)是原始图像,图3(b)和4(b)是1维直方图。图3(c)和4(c),3(d)和4(d),3(e)和4(e)以及3(f)和4(f)分别显示了四种方法 。在图3(b)和4(b)中,,和分别为Otsursquo;s,相对熵,平方距离和我们提出的方法的阈值。
对于图3中的Aerial图像,直方图显示出不等的双峰灰度分布,其在低灰度值和高灰度值附近具有两个小峰值,并且在中灰度值附近具有巨大峰值。 在二进制阈值处理中,Otsu,基于平方距离的和基于熵的方法无法将目标从背景中分离出来。阈值=144,=124和=143远离灰度分布的山谷。相反,我们提出的方法成功地将背景中的目标与背景分离,并给出正确的阈值= 41,该阈值正好位于直方图的波谷处。
图 3 Aerial图像。 (a)原始图像; (b)一维直方图;(c)Otsursquo;s; (d)相对熵; (e)以平方距离为基础; (f)我们提出的方法
图 4 大米图像。 (a)原始图像; (b)一维直方图;(c)Otsursquo;s; (d)相对熵; (e)以平方距离为基础; (f)我们提出的方法
对于图4中的大米图像,=125的Otsu和=127的基于距离的方法可以更好地将目标与背景隔离,但是=97的基于相对熵的方法在图像的中心部分失败。我们提出的方法可以成功检测出背景中的目标,并且= 119接近灰度直方图的谷值。另外,我们提出的方法所获得的结果在保持边缘信息的完整性方面是最好的。
- 绩效评估比较
为了定量分析分割方法的性能,选择文献[2]中常见的错误分类错误(ME)作为客观评价标准,其定义为:
(20)
和分别表示原始(地面实况)图像中的背景和目标; 和分别表示测试图像中的背景和目标;|bull;|是操作员获得集合的基数。
从网站Mehmet Sezgin [27]下载一定数量的原始图像和地面真实图像用于测试性能,图5和图6显示了尺寸为111times;74和551times;227的两幅代表性图像,,其中图5(a)和6(a) 图5(b)和6(b)分别是原始图像和地面真实图像。表1给出了四种方法的分割阈值和ME值。从表1中可以得到我们提出的方法的ME值小于其他三种方法。
图 5 测试图像为111times;74。 (a)原始图像; (b)基本事实
图 6 测试图像为551times;227。(a)原始图像;(二)地面真相
表格 1 阈值与M E与基本事实的比较
VI.结论
利用目标和背景区域的均值定义,提出了一种基于相对熵的对称共生矩阵阈值法。该方法可以获取对称共生矩阵的全部统计空间信息,并且可以获得更好的分割性能。作为未来的工作,需要考虑多级阈值案例。另外,与参考文献[10,11]中发表的广义相对熵阈值类似,我们下一步将研究基于对称共生矩阵的相应方法。
参考文献
[1] A. Yimit, Y. Hagihara and T. Miyoshi, “2-D direction histogram
based entropic thresholding”, Neurocomputing, Vol.120, No.11,
pp.287–297, 2013.
[2] M. Sezgin and B. Sankur, “Survey over image thresholding tech-
niques and quantitative performance evaluation”, Journal of
Electronic Imaging, Vol.13, No.1, pp.146–168, 2004.
[3] L. Cong, H.L. Meng, H.L. Qin, et al., “Weak GPS signal ac-
quisition method using variable threshold”, Chinese Journal of
Electronics, Vol.22, No.4, pp.838–842, 2013.
[4] B. Li, W.J. Liu and L.H. Dou, “Unsupervised learning of gaus-
sian mixture model with application to image segmentation”,
Chinese Journal of Electronics, Vol.19, No.3, pp.451–456, 2010.
[5] E.D. Jansing, T.A. Albest and D.L. Chenoweth, “Two-
dimensional entropic segmentation”, Pattern Recognition Let-
ters, Vol.20, No.3, pp.329–336, 1999.
[6] P.K. Sahoo and G. Arora, “A thresholding method based on
two-dimensional Renyirsquo;s entropy”, Pattern Recogn
剩余内容已隐藏,支付完成后下载完整资料
资料编号:[22724],资料为PDF文档或Word文档,PDF文档可免费转换为Word
