

英语原文共 8 页,剩余内容已隐藏,支付完成后下载完整资料
重庆一次暴雨过程的诊断分析
Hu Rong1,2* ,Shi Xiaokang2,Li Yaodong2
中国科学技术大学气象与海洋学研究所南京211101; 2.中国北京航空Meteoro逻辑研究所,北京100085;
摘要 [目的]:研究旨在分析重庆的暴雨过程. [方法] 根据降水产品数据和NCEP再分析数据,对重庆2012年5月11 - 12日的暴雨过程天气情况进行了诊断分析,其诊断分析包括动态和水汽条件,不稳定指数,水汽条件(水汽螺旋度,水汽通量散度). [结果] 东南移向的短波槽和向东北移动的西南涡是造成这次暴雨的主要天气系统;槽前的正涡度补偿有助于表面上升运动; 700 hPa上西南气流为降水提供了充足的水汽和能量,促进和维持对流的强劲发展; 较高的水汽螺旋度和较低的水汽通量散度与降水面积相对应,具有良好的时间相关性,对降水区及其发展预报具有重要意义;低层上低纬暖湿气流与上方冷空气相交汇,造成此次暴雨; K指数和A指数对于暴雨预报是显著的. [总结] 这项研究可为四川和重庆未来暴雨过程的研究和预测提供参考.
关键字:暴雨;诊断分析;水汽螺旋度;水汽通量散度;中国
在中国,暴雨事件非常严重,每年都会造成数亿人的经济损失。 因此,我国政府和科学部门非常重视暴雨的研究与预测。四川和重庆地形复杂,由于其特殊的地理结构和特征,突发暴雨导致的持续降水和泥石流引起的洪水频繁发生。同时,四川重庆作为长江上游地区,其暴雨对长江流域一带有很大的影响。
四川,重庆等地形成暴雨的中尺度天气系统包括西南涡,高原槽(涡流),低水平射流等,西南涡是最大的发生频率。陈忠明等研究了四川盆地西南涡旋影响暴雨的物理机制。郭先生1981年7月分析了四川盆地的沉淀,指出了稳定的中尺度涡旋(西南涡旋)滞留在盆地,准稳定汇聚带维持在低层,引起强降水。1981年7月11日至15日,西南涡旋和高原低涡的合并可能导致四川盆地暴雨等大暴雨。热带气旋和西南涡旋的相互作用也可能导致西南低涡的强烈发展和区域性大暴雨的发生。高庆云研究了青藏高原东侧的暴雨情况。结果表明,西南低层射流和暖平流协调产生了中高纬度对流复合体的热力和动力机制,与高层次喷射叠加形成深而厚的上升运动,使MCC和暴雨形成和维持。华东地区暴雨发生时高水平喷气和低水平喷气机耦合情况差异很大。康兰等还分析了高原地形对沉重沉淀的影响。地形的重大变化对流通背景,低水平射流和冷空气运动,降水范围和中心强度进一步变化具有重要影响。此外,亚热带高压也是影响西南部降水的重要系统。肖红宇等分析了1980 - 1998年四川亚热带高压特征与暴雨之间的关系,指出四川亚热带高压影响雨暴的现象是西部不连续延伸和北升,突然强度向西延伸或向北升高的现象,泡沫东面再治疗总而言之,暴雨的一代原因更多,但主要的物理条件是足够的水汽,强力和持久的流量上升运动,不稳定的大气层结构。
2012年5月11日至12日,重庆发生一次暴雨事件,对当地的农业,运输,水利等造成严重影响。 本次分析过程中使用了0. 25°times;0.25°降雨实时分析系统(1.0版)网格数据集,小时降雨网格数据集(1.0版)0.1°times;0.1°中国自动站与CMORPH降水产品合并,每6 h 1°times;1°NCEP网格点再分析数据;此次分析研究了暴雨形成过程中的大尺度大气环流状况,物理量场,动力场,水汽条件和大气不稳定性,发现了暴雨的发生原因和机制,为研究提供了参考依据 并对四川和重庆未来暴雨过程进行了预测。
1 降水数据
中国日电网降雨实时分析系统(1.0版)数据集是国家卫星气象中心制定的高精度实时降雨网格点产品,系数为72°-136°E,18°-54°N,空间分辨率为0.25°times;0.25°。通过在国家气象观测台,国家气象观测站,二级国家气象观测站,二级数据监测站等2419个站点的数据获取每日降水观测数据,在考虑气候背景的前提下,利用最优差异,产生了日降水网格点场。 沈燕等人的数据集的误差分析结果显示90%数据的绝对误差低于0.1 mm / d。
由国家卫星气象中心组成的中国汽车电站小时降雨网格数据集(1.0版)合并了降水产物。根据中国自动站的监测降雨量和CMORPH卫星检索降雨资料,1 h 0.1°times;0.1°融合沉淀产物由PDF添加OI两步融合方法生成。沈燕等人综合评估结果表明融合降水产物有效利用地面观测和卫星雷达降水的优点,在降雨和空间分布上更为合理,可以准确掌握强降水过程。以上两个数据集可以从中国气象数据共享服务网络获取(http:// cdc.cma.gov.cn/)
2降水实况和天气背景
2. 1降水实况
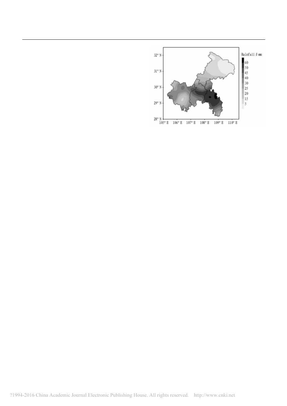
降水发生于2012年5月11日至12日,重庆地区降雨雨量达到暴雨级。暴雨主要集中在重庆南部,十二时四十四分之后逐渐弱为中雨。十二月二十日上午十时至二十日的雨量分布累积如图1,其中21个县和199个镇的累计降雨量均超过50 mm。
2.2天气背景
从图2a可以看出,蒙古和河套到中部青海西藏高原存在冷槽,冷槽在中纬度地区,西北气流(冷空气)连续向东移动。四川盆地北部产生短波槽,向东移动,槽后有冷平流,冷空气向南输送,槽加深发展。此时,重庆处于短波槽前方,向东移动。正是由于正涡度平流处于低谷前方和山脊后方,有利于图1 2012年5月12日20时00分00日00时00分地面上升运动的累积降水分布。同时,连续强劲的西南暖湿气流向北源源不断的向贵州和重庆提供充足的水汽和能源,有利于降水产生。 5月12日08时00分,500 hPa图(图2b),高原短波槽分为三个分支。四川盆地北部分支较弱,呈东北走向。南分支从重庆南部到贵州南部,呈垂直形状。中部短波槽转向,从重庆北部延伸至湘西北部,向东移动。在700 hPa上(图2c),重庆和贵州北部分别有两个低压中心,重庆低压强度较强。从12日02时00分的高度700 hPa看,西南涡旋东区产生低压,西南暖湿气流加强,气流向东移动。在850 hPa(图2d),两个低压中心分别位于重庆北部和贵州北部。重庆东北部有一个低压,冷空气向东南移动。一些暖湿的西南气流向西北方向东移动到重庆,遇到冷气向南移,两者相遇交汇,导致重庆南部和贵州北部的大量降水。14:00低压中心的位置,500 hPa上位于湖北西部,冷槽延伸至湖南中部。700 hPa上位于湖北,850 hPa高度上向东移至湖南中部,暴雨也基本完成。从分析天气情况来看,重庆暴雨过程是由东北 - 西南走向的大槽向东移动,向东推动的短波槽分流的共同作用引起的。西南涡旋向东移动,向北的短波槽分裂的共同作用引起的。重庆位于槽前脊后,槽前正涡度增强,有利于低层减压,气流的辐合上升。西南涡旋低压系统的移动推动了暴雨的发生。图3为700 hPa从11日20:00至12日08:00的流场,11日20时00分(图3a),重庆西部有一个环流中心,中国西南部的暖湿气流与南部干燥空气的汇合。相交汇, 汇聚中心在向东移动的过程中不断发展,12日08时00分到达重庆和贵州北部(图3b),气流收敛加强。
3 物理量诊断分析
3.1动态因素和蒸汽条件
常规诊断物理量:动力提升是引起垂直向上运动的主要机制,动力条件是对流和维护的重要条件之一。通过动态提升效果,低层水蒸汽和能量大量升高,导致对流不断发生和发展。作为一种强对流运动,暴雨不可避免地需要强烈的动力提升效应和足够的水汽来保持其发展和发展.2012年5月12日08时00分,观测到的精度或6小时的累积降雨沿30度重庆地区(106. 5°-108.5°E)主要集中在107. 0°-108.5°E,最强降水在108°E(图4a)。在雨区,垂直上升运动非常强劲,上升区为900〜300 hPa。最大上升垂直速度在500 hPa,达到-2.1 Pa / s。是降雨区东西侧对流层地层到中层的上升带。东侧上升较强,西侧较弱,雨区西侧850-600hPa处有一个倾斜的下沉面积,雨区的水汽通量主要集中在850 - 650 hPa(图4b),中心为接近700hpa,较高的水汽通量位于雨区两侧。西侧水汽通量在对流层低层和中层有两个高值中心,低层低层高中心值较高。东侧水汽通量主要集中在对流层低层,低于垂直涡度垂直分布,为降雨区地层至250 hPa的深而厚的气旋涡度区(图4c),中心为近700 hPa。雨区高层对流层为弱反气旋旋涡带,中心近200 hPa。雨区西侧低层对流层弱,反应强烈,气旋强烈。 雨区东侧垂直涡度的配置情况与西侧相反,强度相等。
从水平散度垂直分布(图4d)可以看出,大气汇聚带从地面向地面倾斜到500 hPa,雨区东侧为500 hPa,强度为500 hPa以上的大气发散区。 收敛和分散中心分别接近650和350 hPa。 雨区西侧地面接近弱收敛带,中低层倾斜弱发散区。 中下高层雨区为弱分散区。 考虑到水汽(图4e)后,与水平散度的垂直分布一致。 雨区东侧为地面至500 hPa的倾斜水汽通量汇聚带,雨区西侧为弱倾斜水汽通量。 由于对流层高层的水汽含量很少,所以水汽通量的偏差很弱。
在上述物理量中,垂直速度,垂直涡度和水平偏差由动态因子进行了诊断和分析,水汽通量主要分析了水汽条件。 从水汽通量分布的分析可以看出,水汽在垂直涡度和水平散度方面具有加权调节作用,对流层和非降水区高层的动态场结构减弱,雨区低层对流层的动力学特征。 此外,重庆以外6 h以内累计降水量较大的地区,以上物理量也有较好的对应关系。
水汽螺旋度和水汽通量散度。 上述分析的物理量被广泛用于每个暴雨过程的诊断,并且通过这些物理量分析的动态场的垂直结构特征和水汽分布也是与地面沉降密切相关的大量降水的常见典型特征。 在充分的水汽条件下,当大气动力场呈垂直分布时,经常发生地面沉降。 但暴雨过程的动态场和气象条件只从水平和垂直方向进行分析,实际对流系统具有旋转特性,螺旋刚刚与上升运动结合在一起。
国内气象学家研究了螺旋度的理论,实践和应用,并应用于实际天气预报。螺旋度对雷暴,龙卷风,大范围暴雨和沙尘暴的分析预报具有一定的指示作用。 在等压坐标中,z螺旋度可写为:
(1)
这里,u,v和omega;分别是等压坐标中x,y和垂直方向的速度。 z螺旋度代表垂直方向相对垂直涡度的传递,Ran Lingkun等将垂直速度和水平发散的乘积定义为发散通量。
该公式表示水平散度的垂直通量。但是,z-螺旋度和通量散度都是大气动力场的物理量,在暴雨过程中不能体现水汽效应。 因此,水汽效应被引入上述两种物理量,分别是水汽螺旋度和水汽通量散度。 考虑了加权因子 - 强度,使对流层高层的Z-螺旋度增强。
以上三种物理量用于研究暴雨情况。 发现与地面降水关系相对较好,对沉淀降水带和降水系统发展具有良好的指导意义。 罗凯等使用定义来分析水汽螺旋度变化与降水强度和下降区之间的关系。发现水汽螺旋度在相应层面具有温湿湿空气的旋转和旋转轴的运动强度,并且水汽通量散度实现了温湿空气的收敛和散度以及相应的旋转轴上的运动强度。
根据先前对水汽通量和水汽通量分布的分析,暴雨过程中的水汽主要集中在对流层低层,高层次较少。 因此,我们调整了加权因子 - 强度,以加强对流层低层的水汽螺旋度和水汽通量散度,并获得局部笛卡尔坐标系。
这里,Hp是水汽螺旋度,Gamma;p是水汽通量散度,rho;是相应高度(kg / m3)的空气强度。 u,v和w分别为纬向,经向和垂直方向的风速(m / s),qv为蒸气比湿度(g / kg)。如图5a所示,2012年5月12日08时08分,重庆水汽螺旋度非常显著。正值区域为900〜400 hPa的雨带,中心最大值在700 hPa,表示气旋水汽通量涡度垂直向上运输。是雨区东侧低层对流层弱气旋螺旋带正值区,气旋流速为弱涡旋垂直向上运送。蒸汽螺旋度高值区与观测前6 h累积降水的位置和大小具有非常好的对应关系。水汽通量散度的负值区(图5b)为雨区900-450hPa,从东向地延伸,表明垂直作为引导运动和水汽通量的收敛效应。 450-300 hPa的弱正值区与强烈的上升运动和弱的水汽通量分散有关。
从图6a和图6b看出,最大水汽螺旋度和水汽通量散度的发生时间比最大小时累积降水的发生时间滞后3h。 原因是大部分降水集中在04时00分至07时00分,NCEP再分析资料的时间分辨率为6 h,浓缩时间为NCEP再分析资料02:00〜08:00 无法准确描述降水浓缩期间水汽螺旋度和水汽通量的时间演变。 但考虑到中低层西南气流,水汽螺旋度和水汽通量散度的时间张力变化对降水系统强度有一定的指导作用。
3.2单点分析:根据对每个诊断物理量的先前分析,
在30°N,108°E,降水强度和每个物理量均显著。然后,我们使用假相当位温,垂直速度,通量散度和z螺旋度来分析现场的暴雨过程。假相当位温是表示大气温度,压力和湿度的逐渐增加的特征量,逐渐上升的theta;se等值线和垂直速度显着增加预测暴雨事件。从图7中可以看出,5月11日20时,低层对流层的theta;se降低,在800〜650 hPa之间高于650〜450hPa,800〜650 hPa为暖湿带。在650〜450hPa之间有冷对流,说明它是潜在的不稳定状态。 12日02时00分,由于垂直上升速度逐渐升高,低层暖湿空气开始升高,与高层冷空气交叉,引发暴雨。强烈的垂直上升速度不断提高了大量的水汽,保持了暴雨的发展。 12日14时,垂直上升速度逐渐减弱,theta;se等值线也趋于缓慢,暴雨基本完成。
从图8可以看出,暴雨开始前,对流层各层的水汽通量不均匀度不显着。 暴雨开始后,对流层低层和中层(950和700 hPa)分别对两个水汽通量中心进行了分析。 低层水汽通量收敛弱,中层非常强。 西
剩余内容已隐藏,支付完成后下载完整资料
资料编号:[26941],资料为PDF文档或Word文档,PDF文档可免费转换为Word
