

英语原文共 9 页,剩余内容已隐藏,支付完成后下载完整资料
利用改进的TOPSIS和ANP方法进行COTS评估
Huan-Jyh Shyur
信息管理部,淡江大学,台湾151迎川路,淡水,台北25137,台湾
摘要:本文将COTS评估问题作为一个MCDM多目标决策问题来建立模型,并提出了一个分五阶段的对COTS进行选择的模型,结合了ANP法(网络层次分析法)和改进型的TOPSIS法(通过对特征表现与其理想解的接近程度进行排序的技术方法)。本文讨论了使用ANP法来确定多元评价标准的相对权重。改进型的TOPSIS法被用来对竞争产品在其整体表现方面进行排序。为了说明如何运用这种方法用于解决COTS评估问题,本文对一个真实的案例进行了实证研究。案例研究表明了该评估程序的效率性以及可行性。
关键词:COTS; TOPSIS; ANP;多目标决策
1 简介
鉴于对商业软件越来越多的使用,对一个商用现成产品(COTS)的评估和选择在软件开发过程中已成为一个重要活动。选择一个合适的COTS产品往往是一个需要仔细考虑多标准的重要任务。根据我们的观察,许多决策者选择COTS产品时是根据自身的经验和直觉。这种方法显然是主观的,它的弱点已经被记录在先前的多个研究中[8-10,12]。
另外,多目标决策(MCDM)法被用来对COTS产品进行排名或从对基于多个标准参数评估后的一组可行方案中选出一个或更多 COTS产品。多目标决策(MCDM)为涉及多标准评价的COTS产品的比较提供了一个有效的基础框架。例如,Kontio [8]开发了一个名为OTSO(现成选项)的系统化方法来证明MCDM法可以从多维度对不同的COTS产品进行有效的比较。该OTSO方法采用层次分析法(AHP),以巩固决策过程的评估数据。层次分析法目前被广泛的用于解决研究人员以及从业者的COTS选择问题 [5,6,8,11]。该方法只有当决策选择框架中各决策层级间是当向的层次关系才有效。然而,Carney和Wallnau [2]指出评价标准对COTS产品并不总是相互独立的,而且经常是交差的。面对这样的复杂性得出的结论可能就是无效的。此外,AHP在当有过多的选择方案以及标准时是实际上不可用的,因为重复的评估可能会导致决策者的疲劳[1]。之前提出的对于COTS产品评估的MCDM法是有用的,但其应用需要受到限制。
为解决MCDM多目标决策问题,存在另一种常用的方法TOPSIS法(通过对特征表现与其理想解的接近程度进行排序的技术方法),它是由Hwang和Yoon第一个开发[7]。TOPSIS法基于这样的概念:最优选择有着离正理想解(PIS)最短的距离以及离负理想解(NIS)最远的距离。虽然TOPSIS法的概念是合理的以及可理解的,并且所涉及的计算并不复杂,但对标准相关的主观表现进行指定分配的内在难度是值得注意的。
本文将COTS评估问题作为一个MCDM多目标决策问题来建立模型,并提出了一个分五阶段的COTS选择模型,结合了ANP法(网络层次分析法)和改进型的TOPSIS法(通过对特征表现与其理想解的接近程度进行排序的技术方法)。ANP法来确定多元评价标准的相对权重但不是一个整体的评价过程以此来减少大量的两两比较。作为对于每个选择所对应的各自表现,改进型的TOPSIS法运用一个新定义的权重化的欧氏距离,结合产品在多评价标准上的全局表现,对产品进行排名。该方法此处所呈现的不能算作对于COTS选择法所推导得到的评价标准。然而,此处提出的模型可提供一种组织方法来设计以及重新定义适当的标准以及减少选择次优解决方案时的风险。
本文的其余部分的结构如下:在下一节中,将呈现所提出的COTS评估程序并给出我们模型的一个概览。第三节将讨论程序和实证研究的结果。在第四节中,我们将对本文所汇报的结果进行总结。
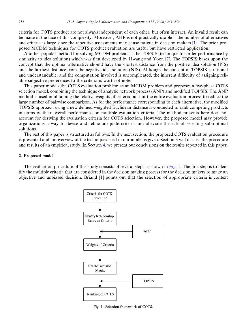
2 提出的模型
本研究的评估过程包括多个步骤,如图1中所示。第一步是确定了在决策过程中对于决策者来讲得到一个客观和公正决策的多重标准。Briand[1]指出恰当标准的选择即是受环境约束以及不能从通用CONTS的选择中脱离开来的。然后,标准之间的关系表现出标准间的相互依赖关系的程度,其通常情况下是通过专家组讨论确定的。在构建完标准间关系网络结构后,标准的权重可以通过运用ANP法进行计算得到。最后,我运用改进型的TOPSIS方法来得到最终的排名结果。每个步骤的详细描述将在在以下各小节中阐述。
图1 COTS的选择框架
2.1 评价标准和它们的相互依存关系
大量的评价标准在COTS评价过程中通常都会被考虑到,这使决策者为得到一个客观,公正的决定变得非常困难。这些标准包括两方面要求:一方面的要求是公司已经拥有以及当实施COTS方案后将会需要的,另一方面的要求是公司目前不需要,但在实施或者维护系统时就有了相应的需求。
Kontio[8]提出了一个这样的标准定义过程,基本上将目标分解成一个分层标准集,在这个层级中的每个分支都是以一个相应的评估属性结束。我们所用来决定分层标准集的正式群体的管理技术被叫做名义群体法(NGT)[3]。这个过程强迫所有人都参加,并且没有主导者被允许出来控制程序过程。在NGT所有的想法都有平等的地位。在我们的实证研究中通过NGT法确定了七个潜在评价标准。为了简化该过程,并避免误解,任何标准间的相互作用在第一个实例中都是没有考虑的。
表1列出了建议的标准及其相关属性。七个标准可能不包括所有对COTS评估的决定因素。然而,它们是在我们的案例情况中最有意义的评价标准并且它们在许多著名的文章和书籍中被强调过了。
为了体现评价标准之间的相互依赖性,首先,我们需要确定在网络结构中的确切关系。在我们的研究中另一个NGT过程构成了基于如下认可的关系。
(一)良好的集成解决方案,一站式服务,教育支持和技术支持将减少技术风险,使实施过程更容易。
(二)对于系统实施和维护价格费用的上升可以让供应商倾向于更多重视对于客户的关怀。
(三)一个拥有更高集成度的系统可以降低技术风险因为其需要更少的客户开发。
表格1提议的标准及其相关属性
|
选择标准 |
评估属性 |
|
成本(CO) |
牌照费,模块化定价,维护,文档,顾问费,资源利用,转换成本 |
|
供应商的支持(SS) |
供应商的响应,咨询,热线,培训,技术支持人员,持续增强,分时访问,保修文档,金融稳定,本地分支机构,第三厂商的支持,客户基础,积极研发增长 |
|
技术风险(TR) |
非稳健和不完整的包,复杂的和理解过程网络定义COTS对遗留系统的接口,中间件技术错误,自定义代码差,系统性能差,软件成熟度,成熟的硬件适合的 |
|
贴近公司的业务(FB) |
主要服务对象,包括功能 |
|
易于实现(EI) |
缩短实施时间,用户友好,多站点功能的实现 |
|
灵活易变化为公司的业务变化(FC) |
适应性,开放性为客户开发,开放与其他系统工作 |
|
系统集成(SI) |
内部连接,外部连接 |
图2 标准之间的关系。
(四)一个灵活的系统意味着它对客户开发,与其他系统的协同工作被设计的更开放。它降低了例如复杂的,没有定义完全的COTS接口对于旧系统的技术风险。
图2表示相互依赖网络的类型。单箭头意味着一个单向关系。例如,从SI离开和送入TR的箭头代表着SI的标准属性影响TR的标准属性。
2.2 确定标准的权重
为了确定相互依存的程度之间的关系,网络层次分析法(ANP)技术,即层次分析法(AHP)的延伸,被用来解决评价标准的相对重要性。 ANP法是由Saaty开发[14-16],用来生成决策的优先级,其在不假设决策水平之间的单向层次关系的条件下进行。为了代替一个严格层次的线性由高层至底层的形式,ANP模型提供了一个宽松的网络结构来再现决策问题。对一个给定的元素所产生影响的相对重要性或强度是由与AHP的相似度比率来衡量的。
AHP和ANP之间的主要区别在于ANP法能够处理各决策层级以及相应属性间内在的联系并通过开发一个“超级矩阵”来得到复合权重属性。该超级矩阵是一个分块矩阵,其中每个子矩阵是由两个组之间关系的集合或连接网络结构之间的群簇构成的。Saaty[15]解释了关于Markov链过程的概念。在我们的讨论中,我们使用基于Saaty和Takizawa的[14]操控矩阵来代替Saaty的超级矩阵,这样更容易被理解。
由于这里所介绍的COTS评估法的特点,我们探讨了在决策过程中,为了得到一个相互作用的显性考虑的ANP法合理性,剩余的步骤包括三个子步骤并显示如下:
第1步:假设在标准之间不存在相互依存关系,决策者被要求来评估所有被提出的标准。他们回答这样的问题:“哪个标准应该对COTS产品更重要,以及更重要多少?”回答是被数值化并被缩放后展现的,其基于Saaty所提出的1-9尺度[13],其中1代表两个标准之间没有区别,9代表两两比较两个标准后某标准重要性完全超过另一个标准。对每对标准的判断只进行一次。两标准间重要性的彼此正反关系是倒数关系。一旦完成对两两标准的对比后,本地优先级矢量被如下独立数字化计算得到:
(1)
其中,lambda;max是两两比较矩阵A的最大特征值。所得到的矢量是通过进一步除以其所在列总和得到的归一化值,以此来得到归一化的本地优先级矢量。
第2步:接下来要解决评价标准之间存在相互依存的效应。决策者也是通过两两比较来审视对所有标准的影响因素。比如需要回答这样的问题:”哪个标准会对TR这个标准产生更多的影响:SI或FC?多多少影响?”。各个两两比较矩阵构造了新的标准。这些两两对比矩阵被用来确定对原始标准间相互依存关系的相对影响因素。对于这些矩阵的归一化后的主要特征向量是通过计算得到的并表示为对比关系标准矩阵B,其中零被分配到标准的特征向量上,该标准是由给定的标准中给出的。
第3步:现在,通过结合先前两个步骤所得的结果,我们可以得到标准的相互依赖的优先权,结果如下:
(2)
2.3 排名过程
由ANP评价程序计算得到了代表各种标准重要性的权重。一旦标准的权重被确定下来,将通过一个改进型的TOPSIS排名方法进行剩余的评价过程。一个完整的ANP解决方案只在如下条件下有实际意义的:即只有当标准以及选择方案的数量是足够低的,以便使由评价者判断的两两比较的数量保持在一个低于阈值的合理范围内。例如,如果有n个已分配重要性权重的标准以及有m个方案,然后运行一个完整的ANP解决方案,有n*m*(m-1)/2对比较参数需要评估计算。市场上对于COTS产品的选择方案数量迅速增多[1]。为了避免不合理的大量的两两比较,我们通过TOPSIS法来得到最终的排名结果来代替完整的ANP解决方案。基本的TOPSIS技术方法包括以下步骤:
1.建立选择方案特效的决策矩阵。该矩阵的基本结构可表示为如下:
其中Ai表示可能的选择方案,i= 1hellip;,m; 代表属性或代表相应选择方案特效的标准,j=1hellip;,n; 则表示一个清晰值,用来表示各选择方案对于每个标准的性能等级。
2.计算规范化决策矩阵归一化值被计算为
(3)
3.由归一化的决策矩阵乘以其相应的权重以得到加权后归一化决策矩阵。加权归一化的值vij被计算为
(4)
其中,表示的第j个属性或标准的权重。
4.确定了理想和负理想解的解决方案。
(5)
其中J与利好标准相关,与成本标准相关。
5.计算离散标尺,使用m-维欧氏距离。各选择方案距离正理想解的距离被表示为如下:
(6)
同样地,距离负理想解的距离为如下:
(7)
6.计算距离正理想解的相对距离来对方案的表现进行优先级顺序。对于方案Ai其相对于正理想解的相对距离可以表示为
(8)
其中数值是位于0和1之间的数,数值越大意味着该选择方案的性能越好。
在集合过程中,一组COTS的选择方案需
剩余内容已隐藏,支付完成后下载完整资料
资料编号:[30660],资料为PDF文档或Word文档,PDF文档可免费转换为Word
